"Een ons algebra is een ton onenigheid waard." -John B. S Haldane
Het citaat van John B.S. Haldane hierboven kan niet accurater zijn. Algebra heeft de kracht om de meningen sterk te verdelen: sommigen houden ervan, terwijl anderen het oprecht haten.
In het artikel van vandaag analyseren we enkele basisregels, vergelijkingen, voorbeelden en definities om algebraïsche kennis aangenamer te maken voor iedere student.
De Grondregels van Algebra

Zonder regels en maatregelen kan de samenleving niet functioneren; er moet ons worden verteld wat we moeten doen zodat we onze beperkingen kennen. Daarom moeten concepten en disciplines die in de hedendaagse samenleving veel worden gebruikt, voorschriften hebben om correct te kunnen functioneren en begrepen te worden.
Het is belangrijk te vermelden dat er regels zijn voor alles in het leven. Van de berekening van brandstofverbruik tot de afstand die een ober per uur aflegt, algebra wordt overal voor gebruikt.
Daarom zullen we hierna enkele regels van de algebra behandelen voor rekenkunde, exponenten en radicalen.
Lees meer over de geschiedenis van de algebra.
De Regels van Algebra die Geassocieerd Worden met Rekenkunde
De Distributieve Eigenschap van Vermenigvuldiging
De distributieve eigenschap van vermenigvuldiging is gebaseerd op het feit dat je iets vermenigvuldigt met een som van twee of meer andere termen. Je vermenigvuldiging kan verdeeld worden over elk van de verschillende termen die aan de vergelijking verbonden zijn. Een voorbeeld van de distributieve eigenschap van vermenigvuldiging is het volgende:
y(x + y) = xy + xz
Nadat de noodzakelijke volgorde van bewerkingen is ontwikkeld, is het antwoord of het probleem gevonden.
De Regels voor het Optellen, Aftrekken, Delen en Vermenigvuldigen van Breuken
De wetten van de algebra voor rekenkunde veranderen enigszins wanneer je te maken hebt met vergelijkingen waarin breuken voorkomen.
Als je bijvoorbeeld een breuk wilt vermenigvuldigen, geldt de teller van een breuk als een volledig getal voor deze breuk. Daarom vermenigvuldig je de teller en het doel is bereikt.
Het volgende voorbeeld zal diegenen helpen die iets visueler ingesteld wanneer ze breuken willen vermenigvuldigen:
6 (1/3) = ab/c
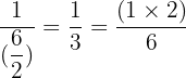
Een proportie delen is zeer nauw verbonden met de eerder genoemde regel over vermenigvuldigen. Door de noemer van een breuk te delen, zal dit hetzelfde effect hebben als het vermenigvuldigen van de teller. Hieronder een voorbeeld om het beter te begrijpen:

De regels voor het optellen en aftrekken van breuken zijn dezelfde: de noemers moeten identiek zijn; net als bij rekenkunde. De noemers moeten bij elkaar worden gevoegd, en hun sommen moeten boven de gemeenschappelijke noemer worden geplaatst. Het volgende is een geweldig voorbeeld om de basis van het optellen en aftrekken van breuken in algebra te begrijpen:

Er zijn tal van andere regels in de algebra die met rekenkunde te maken hebben; de hierboven genoemde zijn er maar een paar die je vanaf het begin moet beheersen.
Wiskunde hulp vind je op deze pagina.
De Regels voor Exponenten in Algebra
Als je dit artikel leest en vergeten bent wat exponenten zijn, zullen we je geheugen even helpen opfrissen. Exponenten zijn een grootheid die de macht weergeeft waartoe een getal of uitdrukking moet worden verheven, meestal uitgedrukt als een verheven symbool naast de naam of uitdrukking in algebra.
Net zoals er voor alles in de algebra regels zijn, volgen hieronder enkele regels voor exponenten:
- De nul-exponentregel: bijvoorbeeld, een 0 = 1 betekent dat alles tot de macht nul verheven 1 is.
- De machtsregel: het is belangrijk te vermelden dat om een macht tot een macht te verheffen je de exponenten moet vermenigvuldigen. Andere, minder belangrijke voorschriften in verband met "machten tot machten" zijn onder meer de regel van het quotiënt tot de macht.
- Productregel: het product van twee machten met hetzelfde grondtal is gelijk aan het grondtal verheven tot de som van de twee exponenten. Deze regel kan goed worden gebruikt door de exponenten uit te schrijven als vermenigvuldigingen; dit maakt de vergelijking realistisch en nauwkeurig.
Ben je op zoek naar bijles, huiswerkbegeleiding of bijvoorbeeld algebra wiskunde examentraining? Twijfel dan niet om je te laten helpen door een van onze vele privéleraren van Superprof bij jou in de buurt. Zij weten als geen ander hoe zij jou moeten helpen!
De Verschillende Regels voor Radicalen in Algebra
In de wereld van de algebra zijn radicale uitdrukkingen essentieel en kunnen ze beschouwd worden als het tegendeel van exponentiële uitdrukkingen, aangezien ze wortels opleveren.
Een typische regel in verband met radicalen in algebra kan als volgt worden gezien:

De hierboven afgebeelde algebraïsche uitdrukking past in de regel van de kritische exponent am ∙ an = am + n.
Er zijn nog veel meer definities, woordenschat en regels die men kan leren over radicalen, het voorgaande is slechts een klein voorproefje dat iedereen doet begrijpen hoe logisch en goed gestructureerd wiskunde is, vooral algebra.
Ontdek een complete handleiding voor wiskunde en algebra.
Eenvoudige Algebraïsche Vergelijkingen
Alvorens enkele eenvoudige algebraïsche vergelijkingen te belichten die men in leerboeken of examens kan vinden, is het van essentieel belang het woord vergelijking te definiëren. Volgens vele bronnen kan een vergelijking worden opgevat als twee uitdrukkingen aan weerszijden van een teken dat hun onderling verband aangeeft. Het verband in een vergelijking kan gelijk zijn aan, kleiner dan, groter dan, of een vorm van beide.
Wanneer de meeste mensen het over vergelijkingen hebben, bedoelen ze algebraïsche vergelijkingen; dit zijn vergelijkingen waarbij letters en cijfers een rol spelen.
Hoe worden algebraïsche vergelijkingen opgelost?
Algebraïsche vergelijkingen worden opgelost door uit te zoeken welke getallen de letters voorstellen.
Leer gerust veel meer met behulp van online wiskunde bijles via Superprof! De privéleraren helpen je graag!
Het volgende is een alledaags voorbeeld van hoe gemakkelijk de eenvoudige vergelijkingen 1 + 1 = 2 en 2 + 5 > 2 + 4 in algebraïsche vergelijkingen kunnen worden omgezet door één van de getallen door een x te vervangen.
1 + 1 = x en x + 5 > x + 4
Daarom kunnen we, nadat we enkele getallen door x hebben vervangen, duidelijk vaststellen dat de waarde van x 2 is. De letter x kan worden gebruikt om algebraïsche uitdrukkingen te creëren; y wordt ook gebruikt om de onbekende elementen van vergelijkingen weer te geven.
In elke vergelijking zijn er termen en componenten die verschillende zaken voorstellen. Bijvoorbeeld, als een term letters en cijfers bevat, worden de letters variabelen genoemd, en de cijfers coëfficiënten. Een andere regel van vergelijkingen is dat als de woorden precies dezelfde variabele hebben, ze gelijksoortige termen worden genoemd en kunnen worden opgeteld, afgetrokken, gedeeld en vermenigvuldigd alsof het gewone getallen zijn.
In sommige situaties moet, om een algebraïsche vergelijking doeltreffend op te lossen, de uitdrukking herschikt worden, en moet x geïsoleerd worden. Er moet een eenvoudige reeks regels worden gevolgd om vergelijkingen te herschikken, voordat je ze kunt beginnen verwerken.
Door de eerder genoemde informatie over vergelijkingen te kennen, verhogen studenten hun slaagkans, vermijden ze verwarring en begrijpen ze de basis van de algebra al van bij het begin.
Ontdek online hulpmiddelen die je kunnen helpen bij algebra.
Basisvoorbeelden van Algebra voor Elk Soort Student
Aangezien algebra een academische discipline is die veel mensen mentaal uitput, zijn er veel online bronnen beschikbaar die stap voor stap uitleg, voorbeelden, videolessen, spelletjes en podcasts aanbieden over de verschillende aspecten van algebra.
Om nieuwe voorbeelden te vinden die je na school kunt bestuderen, raden we je aan om sites als Study.com te bezoeken en video's van 5 à 10 minuten te bekijken (perfect voor studenten die visueel ingesteld zijn!), quizzen te doen en de fundamentele concepten te verwerken.
Bovendien is Mathplanet goed georganiseerd met algebraïsche voorbeelden die gebeurtenissen uit het dagelijkse leven aanhalen. Er is echt een overvloed aan informatie om leerlingen die het moeilijk hebben te helpen slagen, maar je moet weten waar je zoekt.
Een leraar algebra vinden is een goed idee om de essentiële concepten van de algebra te begrijpen.
Definities van Algebra

Als je tijdens het lezen van dit artikel enkele uitdrukkingen, termen of specifieke woorden niet begrepen hebt, dan ben je niet alleen. We zijn niet allemaal wiskundigen, en om eerlijk te zijn moest ik, voordat ik dit artikel schreef, eerst enkele uitdrukkingen opzoeken om mijn geheugen op te frissen.
Hieronder volgen enkele specifieke termen uit de algebra met hun definities:
- Radicalen: terwijl er veel definities zijn voor het woord radicaal, betekent het in de wiskunde een grootheid die gevormd of uitgedrukt wordt als de wortel van een andere.
- Rekenkunde: de rekenkunde is een tak van de wiskunde die de studie van getallen omvat, met name de eigenschappen van optellen, aftrekken, vermenigvuldigen en delen.
- Teller: het getal boven de streep in een gewone breuk dat aangeeft hoeveel delen van de noemer, de naam van het getal onder de streep, worden genomen. Bijvoorbeeld: 2/6.
- Noemer: het getal dat onder de streep staat in een gewone breuk; een deler.
Andere termen in de algebra, zoals variabelen, zijn te vinden in andere Superprof-blogs.
Meer leren over de regels, vergelijkingen en specifieke voorbeelden van algebra kan op de middelbare school, tijdens een studiebijeenkomst voor universiteitsstudenten die hun wiskunde willen verbeteren, of als een opfrisser voor volwassenen die de eerder gekende begrippen simpelweg vergeten zijn.
Samenvatten met AI









